Paradigm新研究:NFT碎片化重组及流动性难题如何解决?

活死人派对(The Party of the Living Dead )是一群NFT 爱好者,他们联合起来竞标一个稀有的僵尸CryptoPunk,然后他们以1200 ETH 的价格买到了一个僵尸CryptoPunk,随后,他们在fractional.art 上对其进行碎片化,并按照贡献者的贡献比例将碎片分配给贡献者。
在最初的碎片化过程中,有5个鲸鱼地址共同拥有了这个NFT 56%的碎片份额,而其余部分碎片则分散在其他451名参与者手中。
3、1 买断
这个僵尸Punk的碎片随后在Uniswap 上进行交易,一位匿名收藏家意识到这些碎片的价格相对于其他僵尸Punk的价值来说是被低估了。这位收藏家购买了足够的碎片来增加其个人的底价投票权,然后降低买断底价,并发起了买断拍卖。
这个买断拍卖以1,100 ETH 的价格开始(低于活死人派对的收购价),并最终以1,900 ETH的价格收盘。
注意:如果你为此PartyBid 做出了贡献,请确保你在此处收集了你的dead token,以便你可以在此处领取你的最终买断价格部分。
3、2 不开心的碎片持有者
很多非鲸鱼碎片持有者对这次买断竞拍并不满意,他们认为这次收购的价格太低。
不幸的是,他们发现自己基本上无能为力。单独来看,他们中没有人能够获得足够的流动性来击败出价并直接购买 NFT。即使他们想联合起来以单一投标人的身份购买 NFT,协调开销以及有限的可用时间也使这条路径变得不可行。
四、 RICKS
4、1 概述
RICKS解决了重组问题,同时避免了完全买断的流动性和协调问题。
该协议不是一个all-or-nothing的买断拍卖机制,而是以恒定速率为给定的 NFT 发行新的 RICKS(例如,每天 1%,或每月 5%),这些新的 RICKS 在拍卖中以 ETH 出售,收益将作为 Staking 奖励提供给现有的 RICKS 持有者。
正如我们将在下面解释的,希望增加其所有权且流动性受限的买家,总是可触发少于一整天新增 RICKS 数量的拍卖。
这意味着 NFT 的所有权总是逐渐流向愿意为其支付最多费用的人,而现有所有者则从中受益。
RICKS 允许有动力的买家随着时间的推移获得 NFT 的绝大多数所有权。我们通过添加极端多数所有者完成其所有权并重组 NFT 的机制来解决重组问题。
举个例子:
当Alice的NFT价值1000 ETH时,她使用RICKS机制将其NFT50%的碎片卖给了 Bob。现在,市场条件发生了变化,NFT 在最佳执行销售时的公允价值为 100,000 ETH。但是,没人能在短时间内为其提供那么多流动性。
碎片持有者分歧:第三方 Clara 想以 10,000 ETH的价格购买整个 NFT,Bob 对这个提议很满意,但 Alice 并不同意,她不希望以低于公允价值的价格出售这个NFT。此时,Alice 和 Bob 各有 50 个 RICKS(总共 100 个),而发行率为 1%。
收藏家机会:Clara参加每日拍卖并以 10,000 ETH 的估价出价,对于这个NFT的1%,一个RICKS 的总价值为 100 ETH。
保护公平价格:Alice 意识到这个出价太低,以 90,000 ETH 估值出价,或 900 ETH购买一个 RICKS。由于她拥有现有 RICKS 的一半,并将获得拍卖收益的一半,因此她只需要提供 450 ETH 来资助她的出价。
4、2 潜在结果
之后就可能会发生以下两种结果:
1、如果Clara的出价不超过Alice,则Alice将赢得拍卖。她将向 Bob 支付 450 ETH,并将获得一个额外的 RICKS,因此她现在拥有 51/101 RICKS,或 50.5% 的供应量。Alice 和 Bob 以他们都认为有利的价格相互交易。
2、如果Clara 的出价比 Alice 高,比如说支付 1,000 ETH 的公允价格,那么 Alice 和 Bob 将各自获得 500 ETH,而 Clara 将获得一个 RICKS,因此她现在拥有 1/101 的碎片,或略低于 1%。同样,Alice、Bob和Clara都以他们满意的价格进行了交易。
无论哪种方式,如果这种活动随着时间的推移而持续存在,它将引起注意和买方流动性,从而提高所有相关方以公允价格进行交易的可能性。
4、3 完成买断
假设 Clara的目标就是拥有这个NFT,并以100,000 ETH 的估值反复竞标 RICKS,这是其他人都无法匹敌的价格。最终,她拥有了99%的RICKS(也许是在赢得拍卖 458 天之后),现在,她想申领这个NFT,为此,协议中将需要一个额外的机制。
一种方法是承认RICKS有一些内在的缺陷,并使用一种彩票机制。例如,如果一个持有者控制了NFT 99%的碎片,他们可能会触发一个抛硬币程序,如果这个币正面朝上,他们得到整个NFT(因此他们额外获得1%),如果是背面朝上,则其他所有者的头寸将翻倍(因此,这个持有者将损失1%)。从预期价值的角度来看,这一程序是完全公平的。
为了避免99%边界附近出现奇怪的情况,我们可以允许NFT碎片的大股东持有者在98%、90%甚至75%时触发抛硬币程序,但需要注意的是,离99%阈值越远,其赢得其余碎片的概率就越低。
4、4 拍卖详情
如果碎片化NFT变得足够昂贵,对于大多数人来说,即使出价1%也可能会贵得让人望而却步。此外,在某些日子里,可能没有人对拍卖感兴趣,因此举行拍卖将是一种浪费。
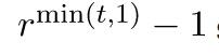
因此,RICKS协议可以实现一个按需拍卖系统,而不是每天举行拍卖:如果距离上次拍卖已经有t天了,并且发行率是r/天,那么协议将拍卖:

个碎片。我们取经过的时间和 1 天中的最小值,以避免一次发出太多 RICKS。
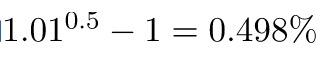
例如,如果发行率为每天 1%,因此 r=1.01,并且在触发新的拍卖时距离上次拍卖已经过去了半天,那么协议将发行和出售:

个新的RICKS供应量。
五、附带功能
5、1 套利
就像现在的碎片化NFT一样,我们希望RICK可以在Uniswap等AMM DEX上进行交易。这提供了一种方便的套利机制,以确保RICKS拍卖不会以过低的价格完成:如果拍卖的收盘价明显低于Uniswap上的RICKS价格,套利者可以通过在拍卖中购买RICKS,然后立即在Uniswap上出售来获利。
5、2 拍卖底价
我们可以考虑将这一逻辑进一步推进,并指定 RICKS 拍卖出价必须至少比 Uniswap TWAP 价格高出 5% 或 10%。
因为一个足够积极的买家仍然能够在足够长的时间范围内积累 NFT 的所有权,重组问题仍然会得到解决。而且,由于拍卖会以高于 Uniswap 的价格进行交易,因此它们可能会造成最小的抛售压力。
另一方面,这种修改会降低 RICKS 持有者staking奖励的一致性。它还使重组变得更加困难,而且很难先验地判断其对市场的影响。
5、3 碎片化发布
RICKS 提供了一种自然机制来启动 NFT 的新部分碎片,NFT 所有者不必在 Uniswap 上提供碎片并选择价格,而是可以简单地使用 RICKS 进行拆分,自己以100%所有者的身份开始,让自动拍卖来处理其余部分。
5、4 申领拍卖收益
RICKS 持有者需要质押他们的 RICKS 才能获得拍卖收益。
然而,这对可组合性提出了挑战。 特别是,始终无法确定 Uniswap V3 上每个集中流动性头寸持有多少 RICKS,这意味着拍卖收益不能直接提供给 Uniswap V3 流动性提供者。
相反,RICKS 协议将跟踪所有 Uniswap V3 LP 拥有的总 RICKS,并将所有这些的拍卖收益用于 Uniswap V3 池子的流动性挖矿奖励,如本文所述。通过这种方式,激励市场参与者尽可能有效地向资金池提供流动性。
这个问题还有其他潜在的解决方案,包括(1)创建一个包含 RICKS 和 ETH 拍卖收益的封装RICKS 代币;(2)将拍卖收益重定向到RICKS的回购,但两者都有明显的缺点。
六、下一步
我们希望 RICKS 能让 NFT碎片化变得更加有趣和有用。
它们还开辟了一个全新的设计空间,例如,我们可以让RICKS 质押者在未来的拍卖中自动使用他们的奖励进行竞价。RICKS也可以汇集在一起形成链上的“委员会”,由具有类似属性的RICKS组成,如例如 Zombie Punks 或 Wizard Hat 和 Scarf Ocelots。














