研报 | 深入理解Web3.0的主要特征:开放、隐私、共建
原标题:《Web3.0:开放、隐私、共建》
来源:DeFi之道
Web2.0时代,以互联网巨头为核心,形成多个生态圈,核心互联网公司对数据、价值和网络效应具有垄断性,生态之间存在着强大的隔阂界限。互联网世界最重要争夺的资源便是流量入口(用户注意力和资金流)。
这一切在Web3.0时代将发生深刻的变化:Web3.0世界将充分开放化,用户在其中的行为将不受生态隔离的限制,甚至可以认为,用户可以(基于基础逻辑)自由畅游在Web3世界;用户数据隐私将通过加密算法和分布式存储等手段得到充分保护。
Web3世界,内容和应用将由用户创造和主导,充分实现用户共建、共治,共享平台的价值。
Web3.0的主要特点是开放、隐私和共建。
开放性体现在:
1)用户在某个互联网应用“领域”中的准入充分自由、门槛低;
2)用户行为不受第三方限制、互联网应用打破原有的所谓生态内、生态间的界限,应用之间具有高度的组合性和复合性;合成资产、NFT等组合下,甚至可以在非许可、无交割的前提下将传统世界财富融合进入Web3.0。
3)另外,Web3.0内部基于不同基础设施的应用之间可以被“跨链”协议解决互联互通。
隐私体现在:数据所有权归用户所有,价值转移不需要第三方授权。
共建体现在:用户在Web2.0互联网应用中的内容创造是多方面受限的(受平台审核限制、跨平台限制),在社区治理方面的限制更甚,因此也就限制了用户在创作者经济共享方面的价值捕获。
Web3.0将打破这些限制,同时区块链的代币激励机制将内容经济的价值有效地反馈给创作者。共建、共享的另一个方面是共治,即DAO。
新的流量范式。Web3.0将不是单纯争夺用户注意力和资金流入口,由于协议的复合型、用户登录的开放性等特点,协议的调用次数往往更重要。同时,Sandbox、Roblox、我的世界的兴起,让市场看到了从2D到3D的升维,除了更立体的展示效果,还会有更多的社交空间。
关于落地形态。Web3.0充满了想象力,其最终的落地形态现在并不能清晰判断。但其趋势已然出现苗头。在向Web3.0演进过程中,有很多Web 2.0和Web 3.0混合形态的产品出现。典型代表是Opensea和Metamask钱包。
浏览器还是APP?现存的Web 3.0应用,在PC和手机主要以web浏览器方式访问。不同于Web 2.0时代厂商喜欢开发独立的移动端App和PC客户端,Web 3.0也许将打破这一现象。
App和客户端对于用户行为数据收集可能更为方便、也方便核心厂商对生态应用的管理,这一点在注重隐私和开发的Web 3.0时代将改变。
另外,本文对Web 3.0时代的监管也做了一些探讨和设想。1)稳定币——首当其冲,纳入传统监管框架;2)隐私性——底层KYC,应用层实现可控适度匿名;3)DAO治理——探讨阶段,传统监管介入。
风险提示:区块链商业模式落地不及预期;监管政策的不确定性。
一、核心观点
元宇宙热潮之下,Web3.0越来越多地被业界提及,什么是Web3.0?Web3.0有哪些特征?为什么我们需要Web3.0?作为国盛区块链研究院Web3.0系列报告的首篇,我们将试着对上述没有标准答案的问题进行探索与分析。
我们认为,在宏观意义上,Web3.0将是当前热议的元宇宙的底层网络架构,在分布式技术(区块链)的助力下,Web3.0将从开放、隐私和共建三个角度去颠覆Web2.0互联网,打造一个由用户社区主导的去中心化世界,重构互联网流量价值范式。
虽然遥远,但在理想的Web3.0范式中,Web2.0时代互联网巨头享有的生态、数据、流量价值等优势将式微,取而代之的是开放、隐私和共建的互联网新世界。
Web3.0的应用将打破Web2.0的生态圈界限,应用之间的复合性、组合性将不受限制,用户在Web3.0世界将以开放的姿态驰骋,在隐私得到充分保护的情况下充分发挥创造力,推动Web3.0世界更多创新应用发展和内容创建,同时流量价值将回馈给用户和社区。
二、Web3.0从何而来,又将何去?
当下的Web2.0互联网似乎在“吞噬”着一切领域,人们不禁谈论着Web2.0红利的消失。始于2008年的区块链以去中心化的方式,从最初的点对点支付逐渐开始冲击着整个数字世界,尤其是近年来智能合约、DeFi、NFT等创新的出现,使得数字网络出现了新的范式可能。
电子屏幕和各类终端设备背后的数字世界,将在Web3.0的推动下,主导权由互联网巨头向用户转移。
虽然Web3.0的轮廓依旧模糊,Web2.0巨头们似乎并未感受到其压力,但来自社区的创新将很快改变这一切。
2.1. Web1.0到Web3.0:互联网经历了什么
回顾互联网从Web1.0到Web2.0的演进,我们可以看到围绕流量争夺、流量变现的变迁。Web1.0到Web2.0,流量从供给不足(互联网刚出现)再到市场争夺流量入口(互联网普及),进而流量变现,中间还经历了从PC互联网到移动互联网的演变。
Web1.0和Web2.0可以说是流量为王的时代。虽然基础设施到应用层面的创新不断,但是流量为王的逻辑是不变的。流量背后,控制着用户流量的生态公司将享有最多的市场红利。相应的,用户的行为数据、用户体验都是在生态公司的限制下进行,用户创造和建设活动受到了一定的限制、且无法获得数据收益。
类似的案例非常普遍,如支付工具的跨平台限制、跨平台的超链接屏蔽等等。流量不仅限于用户的注意力,还包括资金流量,关于后者相当于Web2.0对传统金融的侵蚀。
用户在Web1.0和Web2.0时代,用户的行为是受限的,用户数据隐私得不到充分的保护,用户在互联网中的创作和建设力度是偏弱的,即便是类似抖音这样的短视频平台,用户的创作也接受者平台的监管,创造的形式和内容也无法脱离平台本身的引导和限制;平台通过少数流量大V引导着绝大部分用户的内容体验。
可以说,Web2.0时代,以互联网巨头为核心,形成一个个生态圈,生态内,核心互联网公司“统治”着生态,垄断着生态的数据、价值和网络效应。

这一切在Web3.0时代将发生深刻的变化:Web3.0世界将充分开放化,用户在其中的行为将不受生态隔离的限制,甚至可以认为,用户可以(基于基础逻辑)自由畅游在Web3世界;用户数据隐私将通过加密算法和分布式存储等手段得到保护。
Web3世界,内容和应用将由用户创造和主导,充分实现用户共建、共治(DAO,去中心化治理),同时用户将分享平台(协议)的价值。
除了完全不同的互联网模式和用户体验,Web3将带来新的流量入口范式。Web2时代占据用户注意力的流量入口模式将发生一些有趣的变化。
在以区块链为代表的分布式技术推动下,从去中心化点对点账本实验到去中心化智能合约平台,催生了无数的新型应用(Dapp),慢慢DeFi形成了数字世界里的“金融服务”,而NFT加速了资产上链。
我们看到,传统世界(线上和线下)之外,用户越来越接近一个相融相生的数字世界。至此,人们呼唤一个全新的网络世界——元宇宙,即可信地承载个人的社交身份和资产,社区将拥有更强大的主导权。
以上就是Web3.0的进化简史。

本报告将通过一些具体案例来剖析Web3开放、隐私、共建的特点,并分析新的流量入口和价值范式的内涵。
2.2. Web3.0生态已现雏形
Web 3.0技术堆栈主要可分为三层:协议层、应用层以及网络基础层。这一切主要是基于区块链构建的(当然协议层也可以有链下的辅助部分)。从应用角度看,Web 3.0则涵盖DAO(及工具)、隐私、应用、存储和数据、游戏、创作者经济平台、社交等几乎覆盖Web2.0的大部分领域。
伴随着加密货币行业的蓬勃发展,近两年涌现了大量的Web3.0应用,当然,这些应用最终也许大部分都是过渡期产品。甚至有些应用在经济模式、解决用户痛点方面存在着缺陷,并未体现出比Web2.0更真实需求。
无论如何,Web3.0生态已现雏形,在不断的应用探索中,将一步步揭开Web3.0的面纱。

三、Web3的标签:开放、隐私和共建的世界
3.1. 开放:Web3.0打破生态界限
Web3.0的开放性体现在:
用户在某个互联网应用“领域”中的准入充分自由、门槛低;例如,用户往往利用一个区块链账户地址就可以登录链上的应用,无须注册许可,操作便利;
用户行为不受第三方主体限制、互联网应用打破原有的所谓生态内、生态间的界限和隔阂,在复合代码运行逻辑的原则下,应用之间具有高度的组合性和复合性;最直接的案例就是所谓DeFi Lego,任何应用都可以对底层基础协议(如DEX)做调用或聚合,以及合成资产平台将现实世界资产映射到链上(无交割关系),这等于打破了所谓线上线下和虚拟与现实的界限。
另外,Web3.0内部基于不同基础设施的应用之间可以被“跨链”协议解决互联互通;因此,用户在Web3.0世界多个应用的行为可以生产类似社交关系图谱,进一步提升数据价值的挖掘潜力。
举一个游戏应用的比喻,用户可以不受第三方限制、很方便进入一个游戏世界;用户可以将自身喜欢的角色/形象自由植入到游戏中去,甚至可以使得角色跨平台/领域行动,而Web2.0时代。
如王者荣耀这类游戏,你无法决定角色的选择,更不能将喜欢的孙悟空杀进魔兽世界——这方面的连通平台并不难,只是因为控制权并不在用户手中。当然,你也可以交易角色皮肤等装备(借助NFT),甚至基于其他DeFi协议建立复杂的游戏装备衍生品市场。总之,跨应用平台、跨虚拟与现实地完成Web3.0的生存方式。
本节将以ENS、MASK Network和Polkdot为例,阐释开放的意义。
3.1.1. ENS(Ethereum Name Service):去中心化的身份验证和域名系统
DNS(Domain Name System)是传统Web2.0的重要组成部分。当用户上网时,服务器会将用户的网址请求解析成IP地址返回给用户。
如www. https://www.bilibili.com/域名对应的IP地址可能为http:// 119.3.211.130。这种可读性更高的域名系统降低了用户访问网址时的难度,为Web2.0的建设做出了重要贡献。DNS解决了Web2.0访问的问题,然而随着网址的不断增多以及Web2.0中心化的特点。
用户往往需要注册大量的网站账号,用来访问不同的网站。针对这一问题,尽管许多应用支持了使用较为主流的第三方社交APP(如微信等)直接登录,但总体来看,这种各大网站直接分散割裂而导致用户需要注册大量账号的问题依然存在。
总体来说,用户需要通过注册,才能够使用中心化机构管理的域名和账户系统来访问应用。用户如何做到无许可、更低门槛访问各类互联网应用?


不同于Web2.0的中心化特点,Web3.0世界用户登录行为依靠去中心化身份,DID (Decentralized IDentity)。最常用的一类DID即用户仅使用一个链上账号(区块链公钥地址,以0x开头的42位字符串)来访问各类Web3.0的DApp,即单点登录。
虽然为Web3.0的用户安全提供更自由、门槛更低的访问体验,然而过长的公钥显然难以记忆、可读性差。构建在以太坊上面的域名系统,ENS(Ethereum Name Service)的出现正是致力于这一问题的解决,将用户的钱包地址与自定义的域名进行连接,如将类似0xaa111aaa1aa11aaa11a111a111aa1a1a11a11111的钱包地址改为GuoSheng.eth。
这一更为可读的域名。在之后登录各类DApp时,就可以使用GuoSheng.eth这一域名进行登录,用户之间可以通过此域名进行转账交互等行为。
总结而言,更为开放的Web3.0则支持用户仅使用一个账户(钱包地址)完成访问DApp、与其他用户进行交互等各种操作。ENS的出现解决了Web3.0中用户互动的可读性难题,为单点登录创造了更便利的条件。
构建在以太坊上的ENS可以支持多链地址的解析。用户可以将同一个ENS域名在比特币、以太坊和莱特币等不同链解析的不同的地址,同时ENS也具备内容寻址的功能(不同于Web2.0的IP寻址),解析到互联网应用网站平台。
可以想象,未来的Web3.0时代,用户在元宇宙中遨游(可以跨多个应用),无须注册许可,而通过一个简短的域名账户进行登录即可。
3.1.2. MASK Network:通向Web3.0的开放大门
Mask Network是一组连接传统Web2.0应用与Web3.0应用的插件,为前者用户提供了进入Web3.0的大门。其开发的技术框架Dapplet(Decentralized Applet)支持在目标网站(如Facebook、Twitter等传统Web2.0网站)。
将小程序嵌入其中,以此在中心化的Web2.0中实现小程序的去中心化。之后其与Arweave展开合作,支持在Facebook、Twitter上进行去中心化文件的上传和存储。
当前,用户只用在浏览器中安装Mask插件,即可在Twitter或Facebook上查看Token价格、进行swap、参与ITO(Initial Twitter Offering)以及参与社区投票(借助如snapshot等Web3.0应用)。同时还支持用户将链上资产(包括NFT收藏、捐赠记录)汇总至Twitter。
Mask带来的开放性是显而易见的,即任何Web2.0中的用户都可在不借助任何中心化APP或平台的前提下,通过Mask来直接访问Web3.0并进行相关活动。
Mask将开放的Web3.0世界,通过零门槛的方式展现在了每位Web2.0用户眼前。也就是说,MASK将Twitter与区块链平台打通,用户可以自由地在多个平台应用之间遨游。这在Web2.0生态下几乎很难做到。

3.1.3. Polkdot:连接Web3.0内鸿沟的桥
常有投资者问起:未来是一个元宇宙还是多个元宇宙?它们之间能否互通?
互通分多个层次,应用层、协议层等,一个重要的问题是NFT等数字资产无论是存放在联盟链(蚂蚁链、至信链、长安链等)还是公链(以太坊、比特币等),跨链互通是最基本的,而区块链本身是个带时间戳的账本,如何实现互操作?
不同公链之间是无法直接传递消息和执行操作的,Web3.0内部诸多应用协议(可能是基于不同的底层公链)之间的鸿沟往往通过跨链的方式实现互联互通。
当然,Web3.0协议之间跨接一般不需要第三方主体进行授权(注册),这一点仍然遵循Web3.0的开放性原则。跨链可以是跨链资产桥(类似于多链资产兑换银行),也可以是波卡、Cosmos这类多链协议。
波卡(Polkadot)是一个可伸缩的异构多链系统,能够传递任何数据(不只限于代币)到所有区块链,实现各个链之间资产与数据的互相流通。波卡是由Web3基金会发起的项目,由以太坊前CTO Gavin Wood主导的Parity团队进行设计和开发。
波卡网络的基础构架包括中继链(Relay Chain)、平行链(Parachain)和转接桥(Bridge),波卡是一个真正的多链应用环境,使跨链注册和跨链计算等类似操作成为可能。
如果是比特币是计算器(电子现金系统)、以太坊是区块链世界的计算机,那么波卡就是路由器或者交换机,在计算设备(无论是windows系统还是苹果系统,甚至是移动设备)之间可以传递数据,实现万链互联。
站在这个角度,波卡解决的问题不仅仅是公链自身性能瓶颈(更快的交易处理速度),而是从更丰富的角度解决扩展性——使得原本不兼容的链之间实现互操作,为多链共存的未来世界提供中枢或者路由。波卡系统是由一堆独立运行的区块链组成的,波卡为这些区块链(成为平行链)提供中继路由。

波卡作为中继链,为平行链间传递消息提供基础设施,值得注意的是,所传递的消息不仅限于代币(Token),而是任意数据;平行链之间的类型可以不同(异构)。
这一点非常重要,目前的区块链作为一个分布式账本,矿工处理的工作主要就是维护账户,区块内最核心的数据就是账户代币余额,其他文本数据可以作为附注写入,但很难在区块间自由传递消息;并且,跨接的两条区块链可以是不同类型(甚至是私有链)。
基于波卡可以在公共、开放、未经许可的区块链以及私有、许可区块链之间传输此数据。波卡是真正的多链应用程序环境,在其中可以进行跨链注册表和跨链计算之类的事情。例如,学校的许可链上的私有学术记录链可以向公共链上的学位验证智能合约发送证明。
再例如,跟先前主要作为独立环境运行的网络不同,波卡提供了互操作性和跨链通信。这为创新的新服务打开了大门,同时,也允许用户在链之间进行信息传输。例如,提供交易代币化的股票(用代币来标记股票)的交易所的链,可以跟提供股票交易所帧数数据的链(预言机链)通信,例如为代币化的股票交易提供喂价。
3.2. 隐私:数据所有权和价值的转移
数据隐私已成为全球监管的焦点问题,现行的解决方案一是强化法律保护,让使用者意识到盗用用户数据是违法行为;二是引入隐私计算,通过同态加密、多方安全计算、可信执行环境等技术,保证数据在使用过程中是明文不可见的。
在Web3.0时代,用户将倾向于用更彻底的方式保护个人数据隐私,从而引发数据所有权和价值的转移。随着应用的去中心化,链上数据可查的情况下,用户行为、产生的数据乃至应用协议亦需得到隐私保护。隐私保护是多方面的,包括基础区块链平台隐私保护、存储数据隐私(分布式存储)、用户私钥管理、匿名协议等多方面。
本节以Horizen、NuCypher为例探讨Web3.0隐私特点,前者可以为用户(包括企业用户)提供一个不上传本地隐私数据前提下完成开发的基础区块链平台,企业可以借此为用户提供区块链相关服务。
但又充分保护了企业的隐私数据;后者为Web3.0用户提供了一个分布式私钥共享/托管平台,不同于Web2.0时代中心化机构托管用户账户的方式(让渡部分隐私),Web3.0的管理也可以去中心化地交给网络。
3.2.1. Horizen:保护隐私前提下的开发平台
Horizen原名Zencash,致力于打造隐私保护和基础区块链平台,为用户或企业可以在不上传本地隐私数据的前提下提供开发平台。Horizen由主链和侧链构成。
Horizen主链主要是为用户的交互提供简单且安全的价值传输和存储层,通过原生治理代币ZEN为整个Horizen的生态运转提供支持,以及为侧链提供必要的基础架构。
而具体功能的实现以及网络基础结构等均由侧链开发完成,从而能够针对特定的用例进行更为复杂的性能优化,增强其可扩展性和安全性。Horizen侧链又称Zendoo,其具有极高的扩展性和设计性。侧链有独立的共识机制与加密算法,并且真正的实现了去中心化。
开发者可通过Horizen开放的一套标准通用组件ZEN侧链开发套件(SDK)来迅速完成区块链的开发,从而节省区块链的构建时间。利用侧链附带的零知识证明工具可以在不上传本地隐私数据的前提下,完成企业需求的开发。

同时,主链与侧链之间可以通过其独创的跨链传输协议CCTP(The CrossChain Transfer Protocol)实现代币ZEN以及数据的互联传输,为解决可扩展性问题提供基础保障。

Horizen采用Zk-snark(零知识证明)以及防51%攻击等安全解决方案构建了一个具有极高隐私保护性以及安全性的Web3.0区块链平台,为用户与开发者提供隐私保护。

3.2.2. NuCypher:Web3.0的分布式密钥管理系统
不同于Web2.0应用的密钥托管(一般由互联网公司或第三方托管),区块链私钥管理,对很多初级用户来说是一个难题,而多方共享私钥管理(去中心化的方式)则是一个更为现实的需求。用户该如何借助互联网协议安全地管理和共享私钥呢?
也就是说,多方共享私钥管理可以将私钥托管给一个去中心化的网络协议(而非Web2.0那样交给互联网公司),在指定的用户间安全共享,使得用户解决了进入Web3.0之前最基础的需求。
NuCypher能够在互联网上任意数量的用户之间共享私钥,同时使用其核心技术——代理重加密来代理解密权限。其原生代币NU主要用于奖励网络节点参与者来执行密钥管理和权限代理/回收的操作。
传统中心化密钥管理系统(KMS)的用户密钥交由中心化第三方存储,在第三方存储机构安全的前提下,用户密钥可以得到较为充分且安全的保护。
在用户双方需要进行数据传输时,数据发送者需要从第三方机构调用数据接收者的公钥对数据进行加密,之后数据接收者使用自己的私钥对数据进行解密。但其缺点在于,数据发送者只能使用数据接收者的公钥进行加密,数据传输后数据接收者可以永久保留对数据的访问权限。

而NuCypher采取的代理重加密KMS使用第三方节点分布存储用户的密钥信息。在用户进行数据传输时,首先由数据发送者使用自身私钥和数据接收者公钥生成重新加密密钥,此后将密钥切分为[n]段,将每个片段分发给NuCypher上的节点进行保存。
之后,数据接收者仅有权限在由数据发送者制定的时间段内访问该信息,数据发送者也可随时撤销数据接收者的访问权限。

如此一来,NuCypher保证了数据发送者的加密授权主动性,同时分布式的密钥存储方案确保了用户密钥存储的安全性,为Web3.0数据传输的密钥管理提供了安全的保障。
3.3. DAO:共建、共治和共享价值的网络世界
用户在Web2.0互联网应用中的内容创造是多方面受限的(受平台审核限制、跨平台限制),在社区治理方面的限制更甚,因此也就限制了用户在创作者经济共享方面的价值捕获。Web3.0开放性原则将打破这些限制,同时区块链的激励机制将内容经济的价值有效地反馈给创作者。
3.3.1. Mirror:完全由用户主导的内容创作平台
Mirror类似于Medium、Substack等博客类内容创作平台。其解决的问题在于,在传统自媒体中,内容创作者可以输出创意,但获得是收益是有限的,且面临IP被盗问题,能否将创意固化为资产并支持交易?Mirror当前主要功能包括:
1)作品(Entries):
Entries是Mirror主要的内容创作模块,创作者可以在此处进行文档编辑,编辑支持纯文本+Markdown(类似话题标签)的格式,同时Mirror还支持直接将Medium或Substack等其他平台的文章迁移至Mirror。
对于创作者的每一篇产出,Mirror均支持将其直接铸造为NFT。NFT在链上完成铸造之后,创作者便可将其作品以NFT的形式出售。这样一来,便解决了内容创作者的收益问题。创作者还可将作品永久存储在分布式存储平台Arweave上,保证作品的永久性存储。
2)众筹(Crowdfunds):
众筹模块支持创作者进行任何形式内容的众筹,并且可以基于每个支持者的资助金额为支持者分发相应的支持者代币(由众筹发起者铸造),众筹前三名还可获得独特的NFT奖励。此代币可以理解为支持者所持有的股份。
若作品铸造为NFT后出售获得了相应收益,可以此为基准进行相应的收益分配。而NFT则是项目社区成员的标志,从而自然而然的建立起一个DAO。
3)收益拆分(Splits):
收益拆分模块支持创作者将作品收益或拍卖收益分发给其他多个实体,以此来与合作者共享共同作品的收益。拆分至少需要在两个账户地址之间进行,并且各实体之间的拆分百分比之和必须为100%。
这样一来,在创作者提前预设好收益分配比例和规则之后,每一笔收益都将由智能合约自动完成收益分配的过程,避免中心化收益分配的不透明。
4)NFT铸造(Editions):
Editions模块为Mirror的NFT铸造模块,用户可以使用此模块在Mirror上铸造NFT作品,其中包括价格、媒体文件(当前支持.jpg, .png, .gif, 和.mp4四类文件)、总供应量以及资金首款地址四个创作者自定参数。铸造好之后会生成该NFT地址,同时会加上相应的editionID,该地址可以直接嵌入Mirror的其他文章,在链接下方显示NFT。
5)拍卖(Auctions):
通过拍卖板块,创作者可以将自己创作的NFT作品进行拍卖。创作者需要设定拍卖的保留价格和持续时间,每次出价应不小于上次价格的10%。拍卖同样可以创建对应的URL地址嵌入Entries模块之中,拍卖结束后的收益可以直接转入创作者设定的钱包地址,也可转入众筹或收益拆分模块。
6)投票(Token Race):
投票功能服务于众筹之后所形成的DAO,其形式类似于Snapshot。众筹的参与者自然而然的组成了DAO,通过投票功能可以参与DAO的决策,实施社区的各类决议,在此基础上形成了创作者社区的能力闭环。
Mirror作为Web3.0最重要的内容创作平台之一,允许任何一个Web3.0用户在其中创作自己的作品,并围绕其开展各类活动。更重要的是,创作者自身完全拥有自己的创作作品,可以完全支配其作品而不受Mirror平台的影响。
通过Crowdfunds,Splits和Token Race等模块,创作者可以创建属于每位社区成员的内容社区,并与成员共同建设属于每个人的社区。

作为Web3.0前沿且理想主义的探索,Mirror所实现的方案仍有借鉴意义。
3.3.2. Gitcoin:代码与资源的共享共治平台
在传统网络世界中,如果你有个新奇的想法需要实现怎么办?设立一家公司去拿风投?在大公司争取个创新部门?去一个众筹平台?去车库咖啡碰碰运气?这些看起来都效率偏低,能不能有个平台让新奇的点子、投资者人和代码实现者之间架起桥梁?
Gitcoin是基于以太坊构建的去中心化协作平台,其为开发者提供了一个开发协作平台,同时为投资者提供了一个捐赠平台(加密货币捐赠)。可以简单理解为项目的代码和资金的众筹、共享平台。其核心功能主要有:
1)赏金(Bounties):
该分区主要面向广大Web3.0开发者,开发者可通过发布赏金(Bounty)来针对指定问题寻求外部帮助,其他开发者可以通过解决该问题而获得赏金奖励。基于此,项目开发者可以更好的建设社区项目,而解决问题的开发者则可获得相应的奖励。
2)黑客松(Hackathons):
该分区下集成有许多Hackathon项目,开发者可在此处加入由各个项目方所赞助的黑客松比赛,依照其主题开发相应的产品。
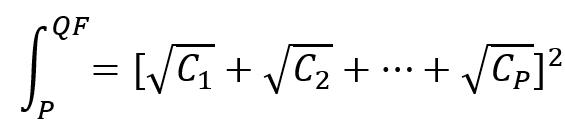
3)捐赠(Grants):
在捐赠分区,用户可以向一些初创且具有公共物品性质的项目进行捐赠,捐赠结束后,部分项目可能会向捐赠用户给予空投回报。Gitcoin捐赠的核心创新在于二次方融资(Quadratic Funding)。在进行二次方融资时,项目所获资金为社区成员捐出资金的“平方根之和的平方”,即

之后基金会将根据每个项目的社区二次方融资金额按比例进行配捐。如在一轮募资中共有两个项目Grant1与Grant2,Grant1获得来自10个人的1美金等值加密货币的捐赠,共计10美金。
而Grant2获得来自1个人的10美金捐赠,共计也是10美金。此时若基金会配捐额度为1100美金,根据二次方融资公式,Grant1能获得的二次方融资票数为

而Grant2能获得的二次方融资票数为
<img src="/upload/image/20220113/1642055714396















