顶级机构 Paradigm 亲手打造的 Art Gobblers 对 NFT 领域做了哪些革新?
作者:0xLaughing,律动 BlockBeats
即便你是一个 Web3 新人,也一定听过 Paradigm 的名字。这家由红杉资本合伙人 Matt Huang 和 Coinbase 联合创始人 Fred Ehrsam 联合成立的投资机构,在 4 年时间里已经让 Paradigm 的名字遍布行业。包括 FTX、Coinbase、OpenSea、dYdX 等等在内的投资版图,已经横跨 DeFi、NFT、公链等多个加密领域。
而现在,NFT 项目 Art Gobblers 是这家顶级投资机构的绝对重心。
在不到一个月的时间里连续发布了 4 篇与之相关的绿皮书(Paradigm 的说明文档),它对目前 NFT 领域存在的问题做了全面革新:在 NFT 发行方面采用了可变利率的渐进式荷兰拍卖 (VRGDA),在 NFT 配套的 ERC20 Token 发行采用了渐进所有权优化模型 (GOO),在创作者参与形式方面采用了新的创作工具和 Pages NFT 玩法,在策展形式方面构建了「去中心化画廊」。
这是由 Paradigm 这家顶级投资机构亲手打造的「NFT 版生物圈二号」,它有可能成为 NFT 行业的新范式。

TL;DR
• Art Gobblers 是一个生态,由 Gobblers NFT、Pages NFT、$Goo Token 三部分组成
• Gobblers NFT 的艺术形象由 Justin Roiland 创作,Justin Roiland 在动画短剧《瑞克和莫蒂 (Rick and Morty)》中担任共同创作者和执行制片人
• Gobblers NFT 总量 10,000 个,2000 个通过白名单发行(其中 300 个团队预留),8000 个通过 VRGDA 发行
• Pages NFT 开始时是空白页面 (Blank Pages),艺术家创作后变为 Drawn Pages
• Gobblers NFT 和 Blank Pages NFT 都采用了 VRGDA 的发行方式
• VRGDA 是为了平衡发售的供需,将实际发售情况与预期进行拟合
• $Goo 代币采用了 GOO 的发行方式
• GOO 是让 NFT 和 Token 的持有人群尽量重合,NFT 持有者拥有的 Token 越多,其生成 Token 的速度就越快,通过使$Goo 超通胀来被动持有 NFT 和质押 Token
目录

Art Gobblers 是什么?
在官方介绍中,Art Gobblers 的定义是「实验性的去中心化艺术工厂」,由艺术家 Justin Roiland 和加密投资机构 Paradigm 共同制作。
看到这个官方的定义可能会一头雾水,总结来说,Art Gobblers 是一个包含了项目方、官方艺术家、外部艺术家、代币系统、策展系统的大生态,它主要由 Gobblers NFT、Blank Pages NFT、$Goo Token 三部分组成。
接下来将详解这三个组成部分以及它们之间的关系。
Gobblers NFT

动画短剧《瑞克和莫蒂 (Rick and Morty)》
Gobblers NFT 总量为 10,000 个,它的艺术形象由 Justin Roiland 创作,Justin Roiland 在动画短剧《瑞克和莫蒂 (Rick and Morty)》中担任共同创作者和执行制片人。
发行方式
这 10,000 个 Gobblers NFT 分为两种方式发行:
• 2000 个通过白名单的形式发售,全部采用 Free Mint 的方式发行,其中有 300 个会预留给核心团队,剩余的留给社区(由合作者、艺术家、收藏家、建设者、竞赛获胜者等组成)。
• 8000 个采用可变利率的渐进式荷兰拍卖 (VRGDA) 的方式发售。(下文会详解这个 VRGDA)
目前获得白名单的方法
根据 Art Gobblers 的官方推文,主要有以下几种方法获得白名单:
1. 持有 Justin Roiland 以前的 NFT 系列,并在官网参加抽奖,持有情况已在 8 月 3 日快照完成,抽奖在 9 月 21 日截止。
Justin Roiland 以前的 NFT 系列:Nifty Gateway(有 11 个 NFT 系列)和 OpenSea 的。
2. 使用 Art Gobblers 官方推出的绘图工具,制作自己的艺术作品并分享到 Twitter 上,由 Art Gobblers 团队选出他们喜欢的作品。
3. 写一个 Thread,分享对「Art Gobblers 对加密世界意味着什么」的看法,可以从美学、文化、社会、经济等方面进行分析,由 Art Gobblers 团队选出他们喜欢的看法。
4. 创作扩展 Art Gobblers 生态系统的代码,可以涉及 Gobbler、$Goo Token、集成 Gobbler 资产的新颖游戏或协议这些方面。
(注:2~4 都需要转发这篇推文,截止时间是 PDT 时间 9 月 27 日 24 点整)
分为普通款与稀有款
Gobblers NFT 分为了普通款和稀有款,其中普通款的「乘数」也不相同。由于 Gobblers NFT 可以生成$Goo Token,「乘数」决定了每个 Gobblers NFT 生成 $Goo Token 的速率。
除了普通款以外,还有 10 个稀有的「传说级 Gobblers NFT」。据 Art Gobblers 绿皮书透露,「它们将在未来十年内的特定时间里出现,为游戏提供断断续续的戏剧性和结构感。」
「传说级 Gobblers NFT」的起始价格被设置为 69 个普通 Gobbler 的价格,并采用标准荷兰拍机制进行拍卖。后续每个「传说级」都将以上一个「传说级」成交价的 2 倍作为起始竞拍价。这里的拍卖成功意味着要「燃烧」普通款,即若以 69 个普通 Gobbler 的价格成交,则买家需烧毁这 69 个普通款。
每次通过 VRGDA 发行 Gobblers NFT 总供应量的 10% 时,都会出现一个新的「传说级」。「传说级」生成 $Goo Token 的速度,是「燃烧」的普通 Gobblers NFT 组合的两倍。
Pages NFT
Pages NFT 将分为两种:Blank Pages 和 Drawn Pages。
Blank Pages NFT
Blank Pages 即空白页面,在 Gobblers NFT 刚发售时没有 Blank Pages,随着后续 Gobblers NFT 可以生成$Goo 代币,则可以用代币购买 Blank Pages。

同时,Blank Pages 的生成也将采用 VRGDA 来调节供需关系,开始时每天可以生成 69 个 Blank Pages,在随后大约 8 个月的时间里生成速度会沿着 Logistic 曲线放缓,直到达到每天 10 个 Blank Pages 的恒定速度,随后将永远保持这一速度。
生成的 Blank Pages 不会分配给团队,但每 10 个新创建的 Blank Pages 中,就有 1 个会进入社区艺术家的国库。
(在此处查看包含参数和发行时间表)
Drawn Pages NFT

官方绘图工具中的作品
Drawn Pages 直译就是画过的页面,外部艺术家可以用上文所述的 Blank Pages NFT 将自己的艺术作品/画作铸造为 1/1 NFT,这个过程被官方称为「glamination」。
这些 Drawn Pages NFT 将归属于 Art Gobblers Pages 集合里,它们是属于铸造它们的艺术家 ERC721 NFT,与任何其他 NFT 一样,它们可以由艺术家随意转让或出售。
$Goo Token
$Goo Token 是由 Gobblers NFT 生成的 ERC20 Token,$Goo 可以用来生成 Gobblers NFT 或 Pages NFT,同时 Gobblers 拥有的 $Goo 越多,它后续继续生成$Goo 的速度就越快,它的生成速度采用了渐进所有权优化模型(GOO)。(下文将详解这个 GOO 渐进所有权优化模型)
Art Gobblers 生态工作原理
上文介绍了 Art Gobblers 的各个组成部分,最终它们会形成一个闭合的生态系统。

对于 Gobblers NFT

Drawn Pages NFT 可以被 Gobblers NFT 吞噬
Gobble 一词有「吞噬」之义,对于 Gobblers NFT,它可以吞噬上文所述的外部艺术家创作的 Drawn Pages NFT,永远陈列在它的「肚皮画廊」里。
普通款 Gobblers NFT 可能被「燃烧」,用以生成「传说级」。
此外,Gobblers NFT 可以生成 $Goo 代币,$Goo 可以用于购买 Gobblers NFT 和购买 Blank Pages NFT。
对于 Pages NFT
从 Blank Pages NFT 开始,它可以用 $Goo 代币购买,吸引外部艺术家创作后生成 Drawn Pages NFT,有的 Drawn Pages NFT 可能会被 Gobblers NFT 持有者吸纳入「肚皮画廊」。
本章节 Art Gobblers 生态总览

可变利率的渐进式荷兰拍卖 (VRGDA) 是什么?

Gobblers NFT 和 Pages NFT 的发行都采用了 VRGDA
在上文所述的 Art Gobblers 生态里,Gobblers NFT 和 Pages NFT 的发行都采用了这个可变利率的渐进式荷兰拍卖 (Variable Rate Gradual Dutch Auction, VRGDA),它是渐进式荷兰拍卖 (GDA) 的泛化版本。
从荷兰拍到渐进式荷兰拍

Azuki 以 1 ETH 的价格完成荷兰拍
荷兰式拍卖 (Dutch Auction) 也称降价拍卖,拍卖人设置一个上限价格,然后上限价格在特定的时间间隔内逐渐下降,第一个应价的竞拍者获胜。例如,蓝筹 Azuki 在发售时就采用了荷兰拍的形式。
渐进式拍卖 (Gradual Dutch Auction, GDA) 由 Paradigm 在 2022 年 4 月 4 日提出。GDA 的工作原理是将销售分解为一系列荷兰式拍卖,而不是只通过一次荷兰式拍卖就完全发售。
在提出 GDA 的绿皮书中,以非连续型 GDA 举例:
「假设 Alice 想卖出 1 万件 NFT。她不确定这些 NFT 的公允价格,所以她不想以固定的价格出售。
她可能会选择进行荷兰拍卖——从一个很高的要价开始,然后逐渐降低价格,直到所有的 NFT 都被卖掉。不过这种方式并不一定是最优解,因为市场上的买家可能并不足以一次性消化所有的 NFT 作品。
但是如果 Alice 一次拍卖一个 NFT,例如,她可能会每分钟都开始一场新的荷兰拍卖,拍卖她的一件新作品。这将给市场更多的时间来为她的 NFT 艺术品找到一个公允的价格。」
非连续型 GDA 其实就是这一想法的延伸。
目前 NFT 发行方式存在什么问题?
• 白名单预售+非白名单公售(还有各种 WaitList 变式)
这仍是目前最主流的 NFT 发行方式,它会把整个 NFT 系列一次性倾倒到市场上。有两种情形:
1. 项目热度十分火热,能十分顺利地完成发售。然而这通常会伴随 Gas War(参考 Otherdeed 发售),让参与发售的人多了很多不必要支出,且有可能在最开始超预期暴涨,若团队后续交付速度慢于预期,价格下跌会伤害社区和投资者;
2. 项目热度中规中矩,能顺利完成发售。与后续运营的收入相比,发售的收入占比极大,且有不少项目在发售后便处于 Soft Rug 状态,「卖完撒花」,团队缺乏后续运营的驱动力;
3. 项目热度不足,发售阶段的「一次性倾倒」使其供过于求。NFT 玩家是否愿意参与发售很大程度上取决于是否有利可图,若项目无法在最开始就顺利完成发售,后续运营可能无以为继,团队和社区成员的前期投入也将功亏一篑。
• 普通荷兰拍
这也存在一定的问题:
1. 若起始价格低于市场公允价格,这等同于公售,可能出现的问题与上述相同;
2. 若起始价格高于市场公允价格,且设置最低价也高于市场公允价格,会导致发售失败,极大影响社区和投资者信心(参考 Lonlypop 的高开低走);
3. 这本质上仍旧是「一次性倾倒」,能否以一个项目方、投资者、社区都满意的合适价格完成发售很大程度上取决于 NFT 市场的好坏,即同样一个项目在 NFT 牛市里可能爆火,在熊市里却可能发售失败。
• 按照时间表线型发售

Nouns 的每日拍卖
这里最典型的案例便是每天只拍卖一个的 Nouns。
按照时间表线型发售很好地解决了上述「一次性倾倒」的问题,但它可能存在的问题是发售模型过于简单不够灵活,以每天只发售一个的固定的速度发售可能与社区扩张速度不匹配。
VRGDA 是如何运转的?
举例
在VRGDA 的绿皮书里举了这样一个例子:

VRGDA 举例
「想象这样一个简单的时间表,我们希望每天销售 10 个 NFT。我们为第一个 NFT 设置了 1 个 Token 的起始价格。
假设现在是第 5 天,那么我们应该卖出 50 个 NFT。但是,由于一直供不应求,我们已经卖出了 70 个。我们本来应该在第 7 天之前卖出 70 个 NFT,所以我们的发售达到相应数量相较于预期提前了两天。
因此,我们希望在未来收取更高的价格,需要使用一个指数曲线来确定这个价格要比原来高多少。这里是举例,由于发售情况比预期提前了 2 天,所以我们把价格提高至 2 的 2 次方,即新价格是 4 个 Token,提高价格来抑制 NFT 的售出。
假如在第 15 天,我们应该卖出 150 个 NFT,但只卖了 120 个,这是第 12 天应该完成的发售量,这意味着发售情况落后了三天。于是将价格调整为 2 的-3 次方,即新价格是 0.125 个 Token,降低价格来促进 NFT 的售出。」
一句话总结就是:VRGDA 可以动态调整 NFT 的售价,若供不应求则提高价格,若供过于求则降低价格,使每天的发售情况能尽可能与预期的发售时间线相拟合。
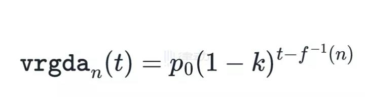
数学推理
VRGDA 给出的数学公式:

t:发售时间
p0:如果 NFT 按照时间线以预期的速度售出,NFT 的售价(目标价格)
k:在没有购买的情况下,NFT 价格在单位时间内下降的百分比
f(t):发行时间表,在 t 时间要出售的 NFT 数量
vrgda(t):调整后的价格

Paradigm 给出的 VRGDA 三种示例
在 VRGDA 绿皮书中仅给出以上三个例子:
1. 一次函数,以恒定的速度发售,如每天发售 1 个,与 GDA 相同;
2. 平方根函数,总量无上限,但在开始时供应多,随后减缓速度,慢慢趋近于以恒定速度发售;
3. 逻辑函数,总量有上限,开始时供应多,随后减缓,直至发售完成。
具体公式推导可以参考 VRGDA 的绿皮书,但可以看出由于 f(t) 代表了发行时间表,项目方在采用 VRGDA 作为发行方式时,可以根据自身情况决定在 t 时间要出售的 NFT 数量,即自定义 f(t) 函数,实际由 VRGDA 能延伸出的发行方式千变万化。
VRGDA 有什么优点?
1. 让 NFT 的发行方式更加灵活,不再是「一次性倾倒」和死板的线性时间发售,可以根据项目的实际需求和市场大环境自定义适合自己的发售方式,前期迅速扩张,后期减缓,符合项目的发展周期,让项目更加可持续地发展;
2. 通过动态调整价格来拟合发售时间线,促进实现供需平衡,帮助 NFT 投资者更好地审视 NFT 项目和进行价格发现;
3. 拉长项目发售时间周期,发售可以始终伴随着项目路线图交付,穿越牛熊也能过减小宏观方面 NFT 市场对 NFT 项目发售的影响。
渐进所有权优化模型 (GOO) 是什么?
在上文所述的 Art Gobblers 生态里,$Goo Token 的产出采用了这个渐进式所有权优化(Gradual Ownership Optimization, GOO)模型,它被用来解决 NFT 的持有者和 NFT 配套 ERC20 Token 的持有者重合度不高的问题,促进 NFT 和其配套 ERC20 Token 持有者的绑定。
目前 NFT 配套的 ERC20 Token 发行方式以及存在的问题
目前 NFT 配套的 ERC20 Token 发行方式主要是两种:
• 空投。在某个时间,所有的 NFT 持有者都可以去领取/收到与他们持有的 NFT 数量成比例的 ERC20 Token,例如 BAYC、MAYC 持有者都能用自己持有的 NFT 去领取$Ape Token 的空投。
• 恒定释放。通过质押/任务,NFT 持有者可以持续收到相对应的 Token,例如 DeGods 通过质押获得$DUST Token,CoolCats 持有可以直接领取 Token,还可以通过做任务领取额外的。
存在的问题:
在这两种情况下,随着时间的推移,持有 NFT 的人群可能会与持有相应 Token 的人群可能产生分离。
在空投的情况下,由于一些用户选择只出售他们的 NFT,而另一些用户选择只出售他们的 Token,导致整个项目的 Token 和 NFT 所有权不一致,并且不存在使其恢复一致的力量。
在恒定释放的情况下,由于 Token 以恒定速率发行,新发行的 Token 在总供应量中所占的比例越来越小,NFT 和 Token 所代表的所有权不可能随着时间的推移恢复一致。此外,无论用户拥有多少 Token,都没有动力将其与相当数量的 NFT 相匹配,反之亦然。一旦 NFT 和 Token 持有者的群体出现分歧,就没有任何东西可以重新调整他们的关系。
GOO 机制如何运转?
想要解决上述问题,让 NFT 和 Token 的持有人群尽量重合,就需要绑定 NFT 的持有和 Token 的生成。

GOO 的供应量会呈指数级增长
GOO 提出的方法很简单:NFT 持有者拥有的 Token 越多,其生成 Token 的速度就越快。
两种情形:

只有持有足够多的 $Goo 才能保证份额不被持续的超通胀稀释
1. 不持有 NFT,只持有 Token:不持有 NFT 意味着无法生成 Token,而别的持有者会一直生成 Token,持续的增发让非持有者持有的 Token 在总供应量中所占的比例迅速减少;
2. 持有多个 NFT,但只持有少量 Token:与其他的持有者相比,它的 Token 产量将落后。
对于 Art Gobblers,Paradigm 提出了一个简单易懂的公式来解释 Token 的释放:

mult 代表了 Gobblers NFT 的乘数(没有透露太多信息,应该是每个 NFT 的属性,各个 NFT 的乘数各不相同),goo in tank 代表了持有者拥有的 Token 数量。
可以看到,Token 的释放与 NFT 的乘数和持有 Token 的持有数量成正比。

具体的运行机制可以参考 GOO 的绿皮书,其中有结果证明,如果多个 Gobbler NFT 带有乘数之和与单个 Gobbler NFT 的乘数相同,那么他们获取 $Goo 的速度是一样的。即假如持有多个 Gobbler NFT,乘数之和为 20,与持有 1 个乘数为 Gobbler NFT 对比,二者生成 $Goo 的速度是相同的。
Art Gobblers NFT 特色总结
1. 采用 VRGDA 发行方式
VRGDA 可以动态调整 Gobblers NFT 和 Pages NFT 的售价,若供不应求则提高价格,若供过于求则降低价格,使每天的发售情况能尽可能与预期的发售时间线相拟合。
2. 采用 GOO 发行 NFT 配套的代币
通过 GOO 机制发行 $Goo Toke,让 Gobblers 和$Goo Token 的持有人群尽量重合。
3.「去中心化画廊」吸引优秀艺术家进入生态
每一个 Gobblers NFT 都是一个「去中心化画廊」,人人都是策展人,Gobblers NFT 可以通过「吞噬」Pages NFT 来不断丰富其中的内容,例如可以构建某一主题的 Gobblers NFT。

外部艺术家可以通过在 Blank Pages NFT 上创作,好的艺术作品会被吸纳入这个生态,Paradigm 构想了一个正向飞轮:
• 随着艺术家们创造出好的艺术作品,Art Gobblers 的文化相关性会增加
• 文化相关性的增长,收藏家对 Gobbler 艺术的需求将会更高
• 艺术家们看到收藏家的需求越来越高,他们将创作出更好的艺术作品
另外,通过在 Art Gobblers 专有的艺术平台上作画,可以逐笔回放每一幅作品的整个绘图过程,可以看到每一幅作品如何从最开始勾勒轮廓到最终成为恢弘大作的,这从一定程度上避免了直接盗用作品和抄袭,也会减少「代肝」的现象。
4. 博弈
权衡 Gobblers NFT 和$Goo Token 的持有情况,变成了一种有趣的博弈游戏。需要竞争的情况:
1. 如何调整 Gobblers NFT 和$Goo Token 的持有比例,使得$Goo 生成速率最大化;
2. 当持有者的$Goo Token 达到一定数量时,是花费$Goo 去再购买一个 Gobblers NFT 来增大乘数,还是买 Pages NFT 来让艺术家创作并售出,或者不花费$Goo 选择一直质押,这些情况哪个才能让后续利益最大化。
可能存在的问题
1. 智能合约安全问题
从上文也可以看出,与其他的 NFT 项目不同的是,Art Gobblers 这个生态内部有着大量的交互,它的运行逻辑需要开发许多的智能合约做支撑,包括 Gobblers NFT、Pages NFT 的发售、$Goo Token 生成、$Goo Token 消耗、Blank Pages 与 Drawn Pages 的转化等等。因此,想要保证生态能够平稳安全地运行下去,首先需要保证其中的智能合约的安全性。
在 9 月 20 日,Paradigm 开源了代码,并发布相关的绿皮书,并开始了一场有着 10 万美元奖金的审计比赛,以此来保证系统的安全。在此前已经接受了samczsun和Riley Holterhus的内部审查程序,还聘请 Spearbit 在协议开发完成时对协议进行审计,没有发现任何重大漏洞。
2. 后续无人运营,时间周期长
在 Art Gobblers 绿皮书中的路线图中写道:「Justin、Paradigm 以及 Art Gobblers 团队都没有计划在即将到来的 free mint 之后构建任何全新的东西。Art Gobblers 不是 Gobblers 元宇宙的第一阶段。这是一个完整的外星技术,我们将它释放给毫无戒心的民众。」
这似乎意味着团队后续不再对这个 Art Gobblers 生态施加外部干预,任由其自行发展。据计算,Gobblers NFT 的发行周期长达十年,若 Paradigm 后续不参与运营,很难想象它是否会走向毁灭。
结语
Paradigm 历来十分重视范式转移,运用范式转移的理论,Paradigm 认为能够颠覆行业的一定是新范式,而非旧范式的革新。Art Gobblers 从 NFT 的发行方式、配套 Token 释放、艺术家参与形式、策展形式、玩法机制带来了全面革新,这是属于 Paradigm 的「尤里卡时刻」。
而 Art Gobblers 整个生态愿景是无外部干预的内部相互作用最终实现自循环,这个由最顶级的加密投资机构亲手打造的「NFT 版生物圈二号」能否成功上线并平稳运转,让我们拭目以待。
Reference
[1] Art Gobblers
[3] GOO (Gradual Ownership Optimization)
[5] Open Sourcing the Art Gobblers Smart Contracts
[6] Paradigm:凭实力完美抄底比特币,新范式投资的登顶之路















